收藏本站
首页
公司概况
公司简介
公司规模
公司荣誉
产品中心
新闻动态
企业资讯
行业报道
医药知识
商务招商
联系我们
人才招聘
欧宝网页版登录入口_欧宝(中国)
新闻动态
企业资讯
行业报道
医药知识
当前位置:
首页
>
企业资讯
>
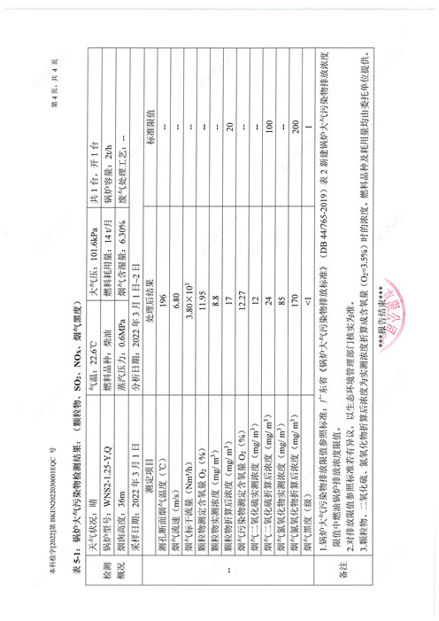
2022年3月废气检测
2022年3月废气检测
发布时间:2022-04-29 10:33:53 点击数:
上一篇:
2022年2月废气检测
下一篇:
2022年3月废水检测
官方微信扫一扫
关注淘宝最新优惠
时博手机官方网站_时博(中国)
|
wanxiangcheng万象城平台(中国)集团
|
玩球_玩球(中国)
|
时博买球
|
时博在线平台(中国)官网
|
华体会平台
|
时博体育
|
时博网页登录
|
WQT.COM玩球通
|